25. November 2011
5. November 2011
Extracts from the professional publication written by RNDr. Jindřich Kára DrSc. "Ether fosfolipid PNAE against the tumour cells: Prevention and therapy of metastases", published by AREKO in May 2000 on the occasion of the international oncological symposium held on 5 and 6 May 2000 in Prague - Pruhonice under the auspices of "Liga proti rakovine" Prague.
Antitumour effects of ether phospholipids have been described in numerous publications (21-35). Synthetic lysophosphatidylcholine (lysolecithine) analogue, 1-0-octadecyl-2-methoxy-rac-glycero-3-phosphocholine (ET-18-OCH3) has been studied the most often (21-28). This preparation selectively destructs tumour cells and its effect is manifested by these cell membranes destruction, as it has been proven by electron microscopy (24-26). ET-18- OCH3 preparation (Edelfosine) also increases the immunological protection of organism, activates the antitumour activity of macrophages, and has a significant effect on tumour metastases in experimental models (21-24, 48). Also, another synthetic lysolecithine analogue has similar antitumor effects, thioether 1-hxadecylmercapto-2-methoxymethyl-rac-glycero-3-phosphocholine, (BM 41.440, Ilmofosine) (28). Even another synthetic phosphatidylcholine analogue with antitumour effect has been prepared (27, 32). Clinical tests of these preparations, especially Edelfosine and Ilmofosine, have proven the therapeutic effect of these preparations (27, 28, 50) but also secondary toxic effects on organism limiting their clinical utilisation.
Discovery of a novel alkyl-phospholipid with a selective antitumor activity (29), 1-0-alkyl-2-acyl-sn-glycero-3-phospho-(N-acyl) ethanolamine (PNAE), which is a natural derivative of phosphatidylethanolamine and has no secondary toxic effects on organism during peroral and also parenteral administration (29-35), opens the new prospect of clinical utilisation of this nontoxic ether-phospholipid, especially in the prevention of human tumour metastases to various organs, mainly to liver (33, 35). In contrast to synthetic preparations (ET-18-OCH3 and BM 41.440), which represent a mixture of racemic stereoisomers, the PNAE (also PNAE(s)) preparation has a natural stereoconfiguration and does not contain any unnatural groupsin the structure of its molecule. Therefore, PNAE and its metabolites are not toxic for organism and thus it is remarkably beneficial for a long-term peroral administration and prevention of human tumour metastases (33, 35). Development and preparation of semisynthetic ether-phospholipid PNAE(s) have been described (30, 34, 35), antitumor activity of PNAE(s) in vitro and in vivo (30, 31), pharmacokinetics and metabolism in vivo (33) have been published (see further in part 5).
Apoptosis is the form of cell death characterised by morphological and biochemical changes such as the condensation of chromatin, the fragmentation of DNA caused by endonuclease activation (57, 58, 69). Stimuli, which increase the fluidity of cellular membranes of tumour cells (eg. hyperthermia or 5% ethanol) (70), or ether-phospholipid ET-18--OCH3 acting (57, 58), can induce an apoptotic death of a tumour cell. Ether-phospholipids induce apoptosis only in tumour cells but not in normal physiological cells (58). There are regulation genes in the cell, expression of which can block the apoptotic death (eg. mitochondrial protein Bcl-2) (58, 71, 72). Probably all antitumour ether-phospholipids induce apoptosis in cancer cells. M. Modolell et al. (58) on the basis of their experiments conclude that the induction of apoptosis by ether-phospholipid ET-18--OCH3 includes three main stages as follows:
The matter of the fact are parameters which can be different in different types of cancer cells. This also explains the different sensitivity of cancer cells to the cytotoxic effect of ether-phospholipids.
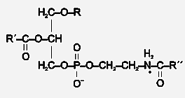
The novel phospholipid was identified as 1-0-alkyl-2-acyl-sn-glycero-3-phospho-(N-acyl)- ethanolamine or pasmanyl-(N-acyl) ethanolamine (PNAE) (29).
The structure of the main molecular species of PNAE is 1-0-oktadecyl-2-oleoyl-sn-glycero-3-phospho-(N-palmitoyl) ethanolamine (29, 30) (Fig. 1).

Fig.1: 1-0-alkyl-2-acyl-sn-glycero-3-phospho-(N-acyl)-ethanolamine or plasmanyl-(N-acyl)-ethanolamine, PNAE (Kára et. al. 1986).
R-oktadecyl; R´-CO-oleoyl; R´´-CO-palmitoyl
The structure of PNAE suggested by us was also proven by prof. Dr. H. K. Mangold et al. (103) who prepared PNAE preparations with the use of synthetic alkyl-ethers of glycerol and biotechnology of plant cells cultures. By this specific semisynthesis they prepared derivatives with a different length of the 1-0-alkyl chain (1-0-tetradecyl, 1-0-hexadecyl and 1-0-(Z)-9'-octadecenyl) - PNAE which have a similar antitumour activity as our semisynthetic alkyl-phospholipid PNAE(s) (103). These results again prove the rightness of the chemical structure of PNAE (29, 30).
The antitumour activity of pure alkyl-phospholipid PNAE was tested in tissue cultures of human tumour cells (HEp-2 a T24 line) by the quantitative measurement of radioactive thymidine-3H incorporation into the cellular DNA at growing microgram concentrations of PNAE in 1 ml of the culture medium (29).
Alkyl-phospholipid PNAE has the selective cytolytic activity on human tumour cells of HEp-2 and T24 lines (human bladder carcinoma) in tissue cultures at the concentration of 50 µg of PNAE/ml and inhibits the proliferation of these tumour cells even at the concentration of 2 µg of PNAE/ml, but does not inhibit the biosynthesis of DNA in normal cells at 50 times higher concentration in the tissue culture of human fibroblasts (29, 30), (Fig. 2). This admirably selective activity of PNAE only against tumour cells indicates the great therapeutic index of PNAE and its nontoxicity for organism and also the growth of human rectum carcinoma cells resistant to fluorouracil in athymic nude mice was significantly inhibited at s. c. doses 4,5 mg of PNAE/mouse during 21 days (P. Poučková et al.) (100).
Similarly like synthetic alkyl-phospholipids, lysophosphatidyl choline analogue (24-26), alkyl-phospholipid PNAE causes selective destruction of cellular membranes of human tumour cells (30, 35). In cooperation with Dr. Z. Pelcbauer (Institute of Macromolecular Chemistry, Czech Academy of Sciences, Prague) and with the help of electron-scanning microscopy, the destructive effect of alkyl-phospholipid PNAE on cellular membranes of human tumour cells HEp-2 was proven in 24-28 hours of these cells incubation in tissue cultures at 50 µg of PNAE/ml (30, 35), (see Fig. 3, 4, 5).

Fig. 2: Selective tumoricidal effect of the alkyl-phospholipid PNAE on human tumor cells HEp-2 in culture, without a cytostatic effect on diploid human fibroblasts (LEP line) on the same conditions in a parallel experiment.
The HEp-2 cells and LEP cells were incubated in the cultural micro-plates in media containing the indicated concentration of alkyl-phospholipid PNAE during 48 hours. After the removal of media with PNAE, thymidine-6-3H into DNA of HEp-2 cells and LEP cells was measured. The proliferation of HEp-2 tumour cells was stopped at the concentration of PNAE 12,5 µg/ml, while normal LEP fibroblast growth was not stopped by alkyl-phospholipid PNAE even at the 10 times higher concentration (125 µg/ml).
1 - incorporation of thymidine -6-3H into DNA of HEp-2 tumour cells.
2 - incorporation of thymidine -6-3H into DNA of LEP fibroblasts.
The selective effect of alkyl-phospholipid PNAE on tumour cell membranes was also confirmed by Dr. A. Kotyk (Institute of Physiology, Czech Academy of Sciences, Prague) who, together with his colleagues, experimentally proved the enhanced permeability of cellular membranes of tumour cells exposed to the alkyl-phospholipid PNAE activity. Diffusion of 2-deoxy-D-glukosa labelled by radioisotope 3H through the membranes of these cells significantly increased in comparison with the control tumour cells which were not incubated in the presence of PNAE. The permeability of cellular membranes of normal physiological cells was on the same conditions of incubation with PNAE changed (101, 102).
An important role in the antitumour and antimetastatic effect of PNAE can also be played by the inhibitory effect of PNAE on the enzymatic activity of protein kinase C, which has been experimentally proven (39). With regard to the importance of protein kinase C for the metastatic capacity of tumour cells (11, 18, 19), a long-term in vivo activity of alkylphospholipid PNAE on protein kinase C of tumor cells can have a significant preventive effect against the dissemination of tumour cells in organism and against the genesis of metastases, especially in liver, where PNAE is the most cumulating during a repeated application (33), (see Tab. 1).

Fig. 3: Electron-scanning microphotograph of the human HEp-2 tumour cell in the tissue culture. Microvilli on the cell surface typical of a living cell.

Fig. 4: Electron-scanning microphotograph of the HEp-2 cell treated with PNAE (50µg/ml) for 24 hours. Holes in the cellular membrane may be seen.

Fig. 5: Electron-scanning microphotograph of the HEp-2 cell treated with PNAE (50µg/ml) for 48 hours in culture. The cellular membrane is significantly damaged, the cell is dead.

Tab. 1: Distribution of the radioactivity of 14C-PNAEs and 14C-labelled metabolites following repeated i.v. injections in Mc11-tumor-bearing BDF1 mice (Kára J. et al., 33).
* A daily intravenous injection of 0.9 mg of 14C-PNAEs (25,6x106 dpm) was administered to each of five BDF1 mice bearing Mc11 sarcoma. Radioactivity in animals' organs was determined 24 hours after the last injection. The highest accumulation of 14C-PNAEs and 14C-metabolites after repeated i.v. doses was found in mouse liver. Other metabolic details, pharmacokinetics and metabolism of 14C-PNAEs are stated in the publication of J. Kára et al. (33).
Recently we have developed a novel technology of the production of Ovosan preparation containing a high percentage of ether-phospholipids PNAE. Ovosan preparation in the form of gelatine capsules contains suspension of egg phospholipids with 30% PNAE and 60% egg lecithin (phosphatidylcholine) in plant oil.
Our conception of a metastases prevention by a long-term application of nontoxic alkyl-phospholipid PNAE is following in the path of the strategy of metastases prevention by an American preparation caboxyamidotriazole (CAI) proposed by E.C. Kohn and L.A. Liotta (95). The advantage of PNAE and our Czech PNAE-containing preparation in comparison to CAI is a complete absence of side toxic effects which, by contrast, appear in patients during a long-term peroral application of the synthetic CAI preparation (94). A high selectivity of the tumour effect of PNAE is also the advantage of this natural ether-phospholipid.
Prevention of metastases can undoubtedly give a better prospective for the survival of the patients than any other therapy of metastases already existing in liver. It is better to prevent than to treat.
11. BLOBE G.C., OBEID L.M., HANNUM Y.A.: Regulation of protein kinase C and role in cancer biology. Cancer and Metastases Reviews, 13, 411-431, 1994.
18. KORCZAK B., WHALE C., KERBEL R.S.: Possible involment of Ca2+ mobilization and protein kinase C activation in the induction of spontaneous metastasis by mouse mammary adenocarcinoma cells. Cancer Res.,49,2597-2602,
18b. GOPALAKRISHNA R., BARSKY S.H.: Tumor promoter-induced membrane bound protein kinase C regulates hematogenous metastasis. Proc.Natl.Acad.Sci. USA, 85, 612-616, 1988.
19. DUMONT J.A., JONES W.D., BITONTI A.J.: Inhibition of experimental metastasis and cell adhesion of B16F1 melanoma cells by inhibitors of protein kinase C. Cancer Res., 52, 1195-1200, 1992.
21. BERDEL W.E., BAUSERT W.R.E., FINK U., RSTETTER J., MUNDER P.G.: Anti-tumor action of alkyl-lysophospholipids. Anticancer Research, 1, 345-352, 1981.
22. BERDEL W.E. and MUNDER P.G.: Antineoplastic actions of ether lipids related to platelet-activating factor. (in: Platelet-activating factor and related lipid mediators, Editor F. Snyder, Plenum Publishing Corporation, pp.449-467, 1987.
23. BERDER W.E., ANDREESEN R., MURDER P.G.: Synthetic alkyl-phospholipid analogs: A new class of antitumor agents. (in: Phospholipids and Cellular Regulation, editor J.F. Kuo, CRC Press Inc., pp. 42-73, 1985.
24. ANDREESEN R.: Ether-phospholipids in the therapy of cancer. Progress in Biochemical Pharmacology, 22, 118-131, 1988, Karger, Basel.
25. NOSEDA A., WHITE J.G., GODWIN P.I., JEROME W.G. and MODEST E.J.: Membrane damage in leukemic cells induced by ether and ester lipids: An electron microscopic study. Experimental and Molecular Pathology, 50, 69-83, 1989.
26. BERDEL W.E., GREINER E., FINK U., ZENKER K.S., STAVROU D., TRAPPE A., FAHLBUSCH R., REICHERT A., RASTETTER J.: Cytotoxic effects of alkyl-lysophospholipids in human brain tumor cells. Oncology, 41, 140-145, 1984.
27. BERDEL W.E.: Membrane - interactive lipids as experimental anticancer agents. Brit. J. Cancer, 64, 208-211, 1991.
28. HERRMANN D.B.J., NEUMANN H.A., BERDEL W.E., HEIM M.E., FROM M., BOERNER D., BICKER U.: Phase I trial of the thioether phospholipid analogue BM 41,440 in cancer patients. Lipids, 22,962-966, 1987.
29. KÁRA J., BOROVIČKA M., LIEBL V., SMOLÍKOVÁ J., UBIK K.: A novel nontoxic alkyl-phospholipid with selective antitumor activity, plasmanyl-(N-acyl)ethanolamine (PNAE), isolated from degenerating chick embryo tissues and from an anticancer biopreparation cACPL. Neoplasma, 33, 187-205, 1986.
30. KÁRA J., LIEBL V., PELCBAUER Z.: Natural and semisynthetic ether phospholipids with selective antitumor activity; their chemical structure and mechanism of action leading to tumor cell membrane destruction. (in: Highlights of Modern Biochemistry, Prague, Czechoslovakia, July 10-15, 1988) vol.2, pp.1459-1474 1989, Editors: A. KOTYK, J. ŠKODA, V.PAČES, V.KOSTKA, VSP Utrecht, The Netherlands, 1989.
31. KÁRA J., KONOVALOVA A.L., KRASNOVA M.A., LIEBL V., BEJŠOVCOVÁ L.: New tumoricidal semisynthetic ether phospholipid, plasmanyl-(N-acyl)ethanolamine (PNAEs) and enhancement of its tumoricidal activity by calcium ions. Neoplasma, 40, 213-217, 1993.
32.LAZENBY C.M., THOMPSON M.G., HICKMAN J.A.: Elevation of leukemic cell intracellular calcium by the ether lipid SRI 62-834. Cancer Res., 50, 3327-3330, 1990.
33.KÁRA J., ZIMAKOVA N.I., SEREBRYAKOVA E.A., DĚDKOVÁ V., ZOLOTARYOV A.F.: Pharmacokonetics and metabolism of a new antitumor semisynthetic ether phospholipid, 14C-labeled plasmanyl-(N-acyl)ethanolamine in mice bearing sarcoma Mc11. J. Cancer Res. Clin. Oncol:, 120, 662-667, 1994.
34.KÁRA J., LIEBL V., DĚDKOVÁ V., BEJŠOVCOVÁ L.: Způsob semisyntetické přípravy alkyl-fosfoplipidu se selektivním protinádorovým účinkem. Čs. patent č. 275396, 1991.
35.KÁRA J.: Ether-fosfolipidy v onkologii. Chemické listy, 87, 58-63, 1993.
39.MIKHAEVICH I.S., GERASIMOVA G.K., KÁRA J.: Inhibition of protein kinase C by semisynthetic phospholipid plasmanyl-(N-acyl)ethanolamine, a nontoxic antitumor preparation. Biochemistry International, 23, 215-220, 1991.
50.KHANAYKAR B., ULBRICH F., GATZEMEIER U., MEYER-SCHEICKERATH E., LORENZ J., SCHREML W., BRUGGER R., SCHICK H.D., von PAWEL J., NORDSTROM R., DRINGS P.: Treatment of non-smoll cell lung cancer with alkyl-phospholipid Edelfosine. Contrib. Oncol., 37, 224-235, 1989.
57.DIOMEDE L., COLOTTA F., PIOVANI B., RE F., MODEST E.J., and SALMONA M.: Induction of apoptosis in human leukemic cells by the ether lipid 1-octadecyl-2-methyl--rac-glycero-3-phosphocholine. A possible basis for its selective action. Int.J.Cancer, 53, 124-130, 1993.
58.MOLLINEDO F., FERNÁNDEZ-LUNA J.L., GAJATE C., MARTIN-MARTÍN B., BENITO A., MERTINEZ-DALMAU R., MODOLELL M.: Selective induction of apoptosis in cancer cells by the lipid ET-18-OCH3 (Edelfosine): Molecular structure requirements, cellular uptake, and protection by Bc1-2 and Bc1-XL. Cancer Res., 57, 1320-1328, 1997.
69.WYLLIE A.H.: Glucocorticoid-induced thymocyte apoptosis is associated with endogenous endonuclease activation. Nature, 284, 555-556, 1980.
100.POUČKOVÁ P., ZADINOVÁ M., NAVRÁTIL L., BLEHOVÁ Z.: Vliv plasmanyl-(N--acyl)ethanolaminu na růst karcinomu recta xenotransplantovaného na athymické nu/nu myši. Časopis lékařů českých, 126, 1569-1571, 1987.
101.KOTYK A., KÁRA J., BAUDYŠOVÁ M., KNOTKOVÁ A., DRAHOTA Z.: Effect of alkyl--phospholipids on mammalian cell permeability. v knize: Molecular Aspects of Human Diseases, (Gorrod J.W., Albamo O., Papa S editors), vol.1., pp. 41-43, Ellis Horwood Ltd., Chichestr, 1989.
102.KOTYK A., KÁRA J., LIEBL V., DRAHOTA Z.: Internat Conf. on Perspectives in Molecular Approaches to Human Diseases, Bari, Italy,1987.
103. APTE S.S., WEBER N., MANGOLD H.K.: Biologically active ether lipids. Biotransformation of rac-1(3)-0-alkylglycerols in cell suspension cultures of rape and semisynthesis of 1-0-alkyl-2-palmitoyl-sn-glycero-3-phospho-(N-palmitoyl) ethanolamines, potent antitumor agents. FEBS Letters, 265, 104-105, 1990.